RT18 Series (Fuse)

RT18 series filling closed tubular cylindrical cap fuse is suitable for the industrial electrical distribution devices of AC50 Hz, rated voltage 380V, rated current up to 125A, for circuit overload and short-circuit protection.

Confirms to standards:IEC60269-2.


  • RT18 Series (Fuse)
  • RT18 Series (Fuse)
  • RT18 Series (Fuse)
  • RT18 Series (Fuse)

Product Detail

Parameters

Samples & Structures

Dimensions

Normal Working Condition and Installation Environment

1.Ambient temperature:-5℃~40℃, average temperature within 24h does not exceed +35℃

2.Altitude: not exceed 2000m

3.Atmosphere: its relative humidity does not exceed 50% when it is at 40℃, it can have relatively high humidity when it is at relatively low temperature, for instance, the relative humidity can reach to 90% when it is at 20℃. There should consider

the condensation occurred on the products due to the temperature variation

4.Voltage: max. system voltage should not exceed 110% of fuse's rated voltage

5.Installation category:Ⅲ

6.Pollution grade:not less than 3

7.Installation position: can be vertically installed at the places without obvious shake and impulse vibration

Breaking Scope and Usage Category

Breaking capacity of fuse: "g", usage category: “G", which is general usage and full range of breaking capacity fuse.

Structure Characteristics

● This fuse is consisted of fuse link and fuse holder.

● The fuse link is consisted of fusion tube, fuse link and fillings. The fuse link made of pure copper strip or wire is encapsulated in a high strength fusion tube, and the fusion tube is filled with high pure quartz sand as arc-extinguishing medium.The fuse link is firmly connected with the terminal cap by welding.

● The fuse is full closed structure when it is at working. The fuse holder can be with indication light, the indication light will be lighted when the fuse link is fusing. The fuse holder uses TH35 standard DIN rail installation, its two terminal is wired with external wires by screw.

Main Technical Parameter

Model RT18-32 RT18-63 RT18-125
Rated voltage 380V
Rated current 32A 63A 125A
Rated breaking capacity kA 100
Power factor cosΦ 0.1~0.2
Model of fuse link R015 R016 R017
Dimension 10*38 14*51 22*58
Rated current of fuse link A 2,4,6,8,10,12,16,20,25,32 2,4,6,8,10,12,16,20,25,32,40,50,63 2,4,6,8,10,12,16,20,25,32,40,50,63,80,100,125

Dimensions

RT18

Fuse Link Dimension

Model R015 R016 R017
Dimension 10*38 14*51 22*58
Code Lmm 38⁺⁰·⁶₋₁.₀ 51⁺⁰·⁶₋₁.₀ 58⁺²·⁰₋₀.₁
H(max)mm 10.5 13.8 16.2
Dmm 10.3±0.1 14.3±0.1 22.2+0.1
RT18

Fuse Holder Dimension

Model RT18-32 RT18-63 RT18-125
Code A mm 80 103 134
B mm 18 26 36
C mm 63 78 78
D mm 36 36 36
E mm 45 58 ——
F mm 45 58 ——
G mm 75 105 104

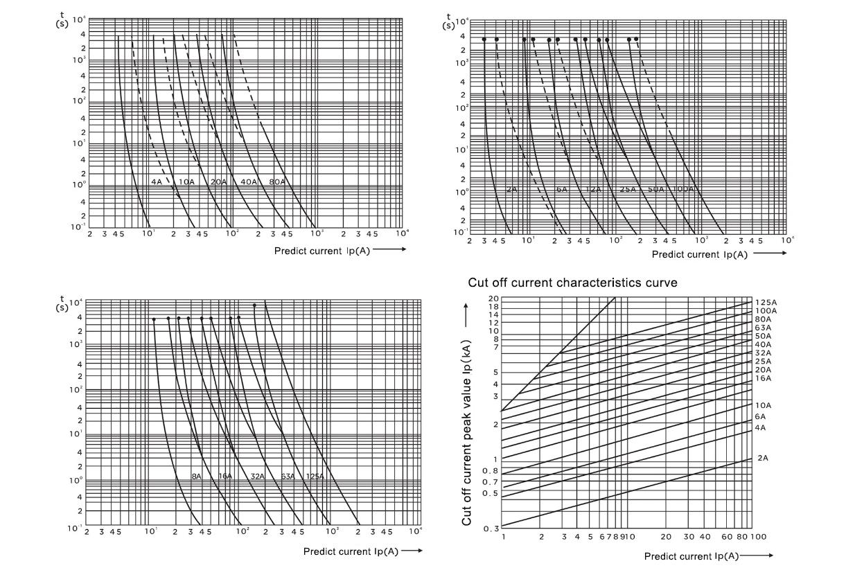
Fuse Link Time-current Characteristics Curve

RT18

6

Model Size of fuse link Rated breaking capacity Rated voltage Rated current A
l1、kA cos∅ Fuse base Fuse link
RT18-32 10*38 100 0.1~0.2 380V 32 2、4、6、8、10、16、20、25、32
RT18-63 14*51 63 2、4、6、8、10、16、20、25、32、40、50、63
HG30-32 10*38 32 10、16、20、25、32

Structure characteristics This fuse series consists of a fuse link, and a fuse holder (fuse base, fusion loading component).

The fuse link consists of a fuse tube, melt, and filler. The variable cross-section melt of pure copper belt or wire is sealed into the high-strength fuse tube, there filled into the fuse tube with the high-purity of quartz sand that is processed by chemicals as the arcing medium.

Two ends of the melt are spot welded to be firmly electric and connected with the end plate (or connecting plate), which forms the cylindrical cap fuse. The fuse holder consists of the fuse base and fusion loading component, it appears full sealing type structure when the fuse operations.

There can be with fusing indication lamp on the fusion loading component, the indication lamp will light when the fuse link is fusing to remind the operator. The holder is installed by the TH35 standard rail, easy and convenient. The wiring terminal of two ends is connected with the external wire by the screw.

External and installation dimension

7.1 External and installation dimension of fuse link

7

Model Size Code
  L mm H(max) mm ∅D mm
R015 10×38 38±0.6 10.5 10.3±01
R016 14×51 51 13.8 14.3±0.1

 7.2 External and installation dimension of fuse holder

8

Model Code Suited fuse link size
A mm B mm C mm D mm E mm F mm G mm
RT18-32 80 18 63 36 45 45 75 10×38
RT18-63 103 26 78 36 58 58 105 14×51
HG30-32 80 18 70 36 45 45 80 10×38
  • Write your message here and send it to us